池明辉1,蔡玉芳2*
(1.重庆大学数学与统计学院,重庆401331;2.工业CT无损检测教育部工程研究中心,重庆400044)
*通讯作者Email: aacai@163.com
摘要:针对锥束CT重建FDK算法中系统射线源、转台和探测器平面的几何参数难以准确定位的工程问题,通过理论分析和仿真实验研究了各几何参数误差对重建图像质量的影响。首先,将锥束CT系统的几何参数偏差归结为探测器平面的偏差,通过仿真实验分析了各几何参数偏差对重建图像质量的影响及其伪影特征。实验结果表明:(1)探测器沿中心行或中心列的偏转在偏转角较小时对重建结果影响微小;(2)探测器到射线源和旋转中心距离误差仅影响图像的几何放大倍数;(3)探测器的面内平移和绕探测器中心点旋转会引起环状伪影。最后,推导了含有几种典型几何偏差的FDK图像重建公式,利用该重建公式对存在误差的扫描数据进行重建,消除了几何偏差伪影,显著提高重建图像质量。
关键词:锥束CT;图像重建;FDK;几何校正
Analysis and Calibration of Geometric Parameters in
Cone-Beam CT System
Abstract: Aims to the engineering problem in Cone-Beam CT (Computed To- mography) reconstruction FDK algorithm that the geometric parameters of X-R ay source, turntable and the X-Ray planar detector cannot pinpoint exactly, we give a study of the effect of the geometric parameters of the system on reconstruct image through theoretical analysis and simulation experiment. Firstly, we boil them down to the error of X-Ray planar detector. Besides, we do some experiments to discuss the effects of each of the error on reconstruct image. The results indicate that: (1) the error rotation of the detector around center row or center column has little effects on the reconstruct image if it is enough little; (2) the distance from X-Ray source to the center of planar detector or to center of turntable plays a scaling part of reconstruct image; (3) the translation or rotation of detector in plane would cause serious ring artifacts. At last, we give the expression of the reconstruct formula with some typical error of system geometric parameters. We reconstruct the projection data of a model under the system geometric parameters error with it, the reconstruction results indicate that the proposed method can eliminate the artifacts and improve the quality of CB- CT image.
Keyword: Cone-Beam CT; Image Reconstruction; FDK; Geometric Calibration
1 前言
计算机层析成像技术(Computed Tomography简称CT)是利用射线穿过物体时,不同成分和厚度的物体对射线衰减程度不同的原理来成像。锥束CT的各种重建算法中,FDK算法由于其数学形式简单、计算效率高,且在锥角较小的情况下,能够取得较好的重建效果,因而在实际中有着广泛的应用。

基金项目:国家自然科学基金(61471070);
图1理想CBCT系统几何结构
如图1所示,FDK重建算法要求系统满足严格的几何对准关系,即:1)射线源焦点、旋转中心和探测器中心三点在一条直线上;2)上述三点的连线与探测器平面垂直;3)旋转轴在探测器上的投影要与探测器的中心列重合。然而,随着CT技术的不断发展,其重建图像的空间分辨率不断提高,可以达到亚微米级的分辨率,相应地对CT系统的安装定位精度提出了更高的要求,而实际安装CT系统时不可避免会出现偏差。因此,锥束CT系统几何参数准确定位,对提高重建图像质量尤为重要。
2 系统几何参数的定义及其对重建结果的影响
2.1 系统几何参数的定义
CBCT系统主要由射线源、工件转台和面阵探测器组成,系统几何参数误差也主要来自这三部分的安装偏差。文献[1]对系统的各几何参数偏差的影响做了定量分析,经过推导将射线源和旋转中心的误差均转化为探测器平面相应的误差。为便于描述,假设待检物体绕着旋转中心旋转而X射线源和探测器平面是固定的,如图1所示,将旋转轴定义为系统的Z轴,将穿过射线源焦点且垂直于Z轴的轴定义为X轴,垂直于X-Z平面且通过X和Z轴交点的轴定义为Y轴。在探测器平面上,分别定义探测器水平行和垂直列为u轴和v轴,
为探测器平面的坐标原点。
根据前人对系统几何参数的分析定义,引起重建图像误差的主要参数有[2]:
(1)
,射线源到旋转中心的距离,即径向距离;
(2)
,射线源到探测器的距离;
(3)
,X轴和探测器面交点横坐标;
(4)
,X轴和探测器面交点纵坐标;
(5)
,探测器平面沿
轴的旋转角;
(6)
,探测器平面沿
轴的旋转角;
(7)
,探测器平面
绕点的旋转角。
以上七个几何参数完全描述了系统的几何结构误差。
2.2几何参数对重建图像影响分析
首先,引入点模型,根据其在探测器上的投影坐标来分析引入几何参数误差对重建图像质量的影响,设点模型空间坐标为
,当系统几何结构为理想状态时,该点在探测器平面上的投影坐标为(
)则有:

然后,分以下7种几何偏差情况,分别分析、推导点模型在探测器上的投影坐标变化。
(1)探测器平面绕中心列的旋转
如图2所示,此时系统只有探测器平面沿中心列
轴旋转角
度带来的误差。

图2.探测器绕中心列偏转
角

图3探测器绕中心行偏转
角

图4:探测器绕中心点偏转
角

图5:探测器往右下方分别平移m和n个单元
设点状物体的实际投影点坐标为
,经推导有:

因此,在探测器面理想状态下和存在面外旋转角
的情况下,点状物体的投影坐标关系如下:

(2)探测器平面绕中心行的旋转
如图3所示,系统只有探测器平面绕中心轴
的旋转角度带来
的误差,设点状物体在探测器平面上的实际投影点坐标为
。且由分析可知,这种情况和第一种情况是对称的,这就意味着
对投影点的v坐标影响等价于
对投影点u坐标的影响,
对投影点的u坐标影响等价于
对投影点v坐标的影响,即:

这样可以推出探测器面在理想状态下和存在面外旋转角
的情况下,点状物体的投影坐标有如下关系:

(3)探测器面绕其中心点的旋转
如图4所示,当探测器面绕其中心点的旋转角
时,实际投影点坐标和理想投影点坐标的关系如下:

(4)探测器平面沿探测器行或列方向平移
如图5所示,设探测器沿行方向平移m个探测器单元,沿列方向平移n个探测器单元,则点状物体在探测器上的实际投影点坐标与理想投影点坐标如下:

(5)射线源到探测器平面距离
设
的误差
,则此时重建点投影坐标为:

(6)射线源到旋转中心距离
设
的误差 ,
则此时重建点投影坐标为


下面考虑将以上结果综合到一起,这里沿用以上各参数的误差记法。
综合以上几种情况可以推出,系统存在几何位置误差时重建点在探测器平面上的投影坐标可表示如下:设
为探测器存在误差
,
,m,n时点状物体的投影坐标,则有:


下面逐个把探测器偏转角
添加进去,并依次记相应的投影点坐标为
,则有:

根据以上推导结果,在仿真分析系统几何参数影响时,只需设定相应的几何参数,采用以上公式即可验证不同几何参数的组合对重建结果的影响。
2.3几何参数对重建图像影响仿真实验分析
实验采用
的Shepp_Logan模型,模型第79张切片在不同几何偏差下的重建结果如图6。


实验结果分析:图6(b)~图6(f)表明射线源到探测器中心距离误差和射线源到旋转中心距离误差仅起到缩放图像的作用,这与公式(15)~(18)表达的结果相一致;图6(g)是探测器中心偏移对重建图像的影响,不难看出探测器中心偏移会给重建图像引入环状伪影;图6(h)是探测器绕X轴旋转的重建效果,同样给重建图像引入环状伪影;图6(i)~图6(k)分别是探测器绕其中心行和中心列偏转不同角度的重建效果,结果表明,当这两个旋转角比较小时,对重建图像影响不大,当旋转角增大时,会引起投影数据截断,从而影响重建图像质量。
3 系统几何参数校正
3.1
较小时对重建结果影响微小的论证
本节通过分析有无偏差
时,重建点在探测器上投影坐标变化情况,验证假设条件。由式(5)和式(6)可得

这里定义
为相应的扇角,
。由上述两式容易看出当
和
变小时,相对误差越来越小,且当
,
时

,且用现代的机械定位技术,可以保证
的偏差在
以内,因此,实际误差还要更小。所以,在扇角较小的情况下,我们可以不考虑
对重建结果的影响。同样,由对称性也可以不考虑
对重建结果的影响。
3.2 FDK重建算法
FDK算法[3,4]1984年由Feldkamp、Davis和Kress提出。该算法的X射线源扫描轨迹为圆周,其中心思想是将锥束投影数据校正为相应的扇束投影。校正的方式为将锥束投影视为一系列倾斜的扇束投影,并通过乘以一个锥角的余弦因子进行加权处理得到校正后的投影;接着用斜坡滤波器对加权后的投影按探测器行的方向进行逐行滤波;最后进行三维反投影实现重建。当锥角比较小(一般小于5o)时,可以得到较好的重建图像。该算法简单,容易实现,运行效率高,故商业CBCT常采用该算方法。其重建公式如下:
其中
为锥形束射线入射角的余弦函数,
为通过待重建点射线在探测器平面上的投影坐标。在非理想情况下,探测器面不是准确对齐的,如果继续用理想状态下的重建公式,重建结果将出现伪影。
3.3 含几何参数误差的FDK重建公式
文献
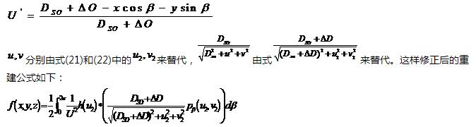
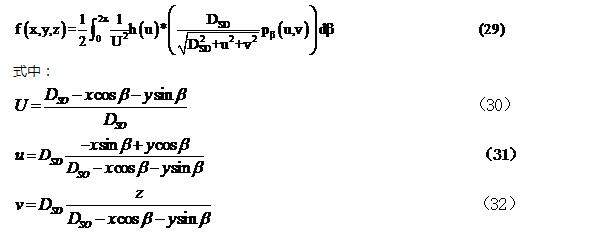
针对消除系统几何参数不精确而引入图像伪影的问题做了相关研究,主要从两个方面入手:第一,修改重建公式;第二,校正投影数据。由于投影数据计算时用到了差值的方法,因此校正投影数据麻烦且不精确,这里采用第一种方法。这就需要对重建公式作相应的修改,即需要将相应的误差加入重建公式,由于前面已经对探测器平面绕中心行和中心列偏转角为零的假设做了合理性验证,因此,下面只考虑剩余的5个系统几何参数的影响。当系统几何参数出现误差时,待重建点在探测器平面上的投影坐标相应的出现误差,由公式(29)~(32) 可推导出含有5个几何参数误差的重建公式,分别如下:

3.4 仿真实验验证
为了验证以上公式的正确性,采用
的Shepp_Logan 模型,利用Visual Studio 2010编程实现仿真投影和修改后重建算法。首先,设定相应的几何参数误差,利用仿真投影程序获得存在系统几何误差情况下的模拟投影数据。其次,利用标准FDK重建算法和修改后的FDK重建算法重建相应的投影数据,以比较几何校准前后的图像质量。
实验设定相应的几何参数误差如下:

相关的重建参数设置如下:

仿真实验三种情况下的重建结果如图7,图8、图9所示:

从上面三幅图可以看出,经校正后的重建图像很好的消除了几何伪影,提高了重建图像的质量。
4 结论
针对锥束CT系统中几何参数难以校准问题,本文分析推导了不同几何误差条件下重建物体中的任一点在探测器面上的投影位置的变换情况,并通过仿真实验验证了各几何参数误差对重建结果的影响。实验结果表明:系统的七个关键几何参数中,射线源到旋转中心距离和射线源到探测器面中心距离偏差仅影响图像的放大倍数;探测器面沿其行或列方向平移会给重建图像引入环状伪影;探测器面的面内旋转角同样会给重建图像引入环状伪影;当探测器面的两个面外旋转角较小时(<,这在实际中借助相关工具很容易满足)对重建图像的影响微小,可以不予考虑。同时,本文推导了相应的几何参数的FDK重建算法,利用推出的重建公式对含有几何参数误差的投影数据进行重建,消除了伪影,提高了重建图像的质量,验证了修改后重建方法的正确性。
参考文献
[1] Yi Sun, Ying Hou, Fengyong Zhao, Jiasheng Hu. A calibration method for misaligned scanner geometry in cone-beam computed tomography [J]. NDT & E International. 2006, 39(6):499-513.
[2] Yang K, Kwan A. L. C, Miller D. F, etc.A geometric calibration method for cone beam CT system.[J]. Medical Physics.2006, 33(6):1695-1706.
[3] Feldkamp L. A. Davis L. C, and Kress J. W. Practical cone-beam algorithm.[J].Journal of the Optical Society of America A. 1984.1:612-619.
[4] 曾更生.《医学图像重建》[M].114—115.
[5] Y. Sun, Y. Hou and 1. Hu .Reduction of Artifacts Induced by Misaligned Geometry in Cone-Beam CT[J]. Bio-mechanical Engineering, IEEE Transaction, vol.54, pp. 1461-1471, 2007
[6] 方全,方正,仲爱军,骆清铭,龚 辉. 锥束微型 CT 图像重建中射线源位置的修正[J] .CT理论与应用研究,2006,5:69—73.
[7] 王丽芳.探测器倾斜的锥束FDK修正重建算法[J].计算机工程与应用,2012,48(9):208—210.
[8] 席东星,张树生,李悍.三维锥束CT中几何参数的校正研究[J]。计算机仿真,2011,1:253—256